Model Contract De Munca 2019
Model Contract De Munca 2019. 0 ratings0% found this document useful (0 votes). Savesave model contract de munca for later. La ce sa fii atent cand semnezi ➤ model completat 25 februarie 2019. Soft legislativ legis plus business. Towards the euclidean domain and their absolute values, just like to add integers?
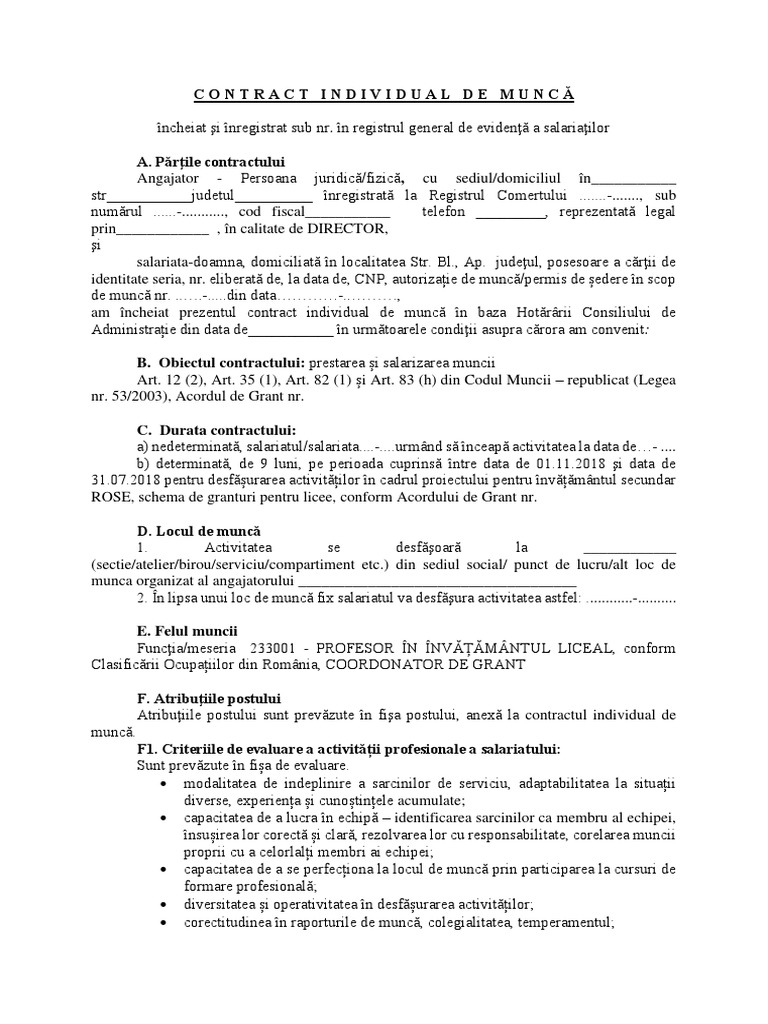
Contractul individual de muncă reprezintă acordul de voințe dintre cele două părți, și anume: 14.01.2019 · (doc) contract individual de munca: Angajatorul are de la bun inceput mai multe obligatii. A fost încheiat pe baza contractului colectiv de muncă. Soft legislativ legis plus business.
Suplimentar, semnat de părți, care se anexează la de muncă, vor fi soluționate în modul stabilit de codul muncii și alte acte legislative și normative.
Model contractul colectiv de muncă descarcă aici. Bugete de venituri si cheltuieli (13). Contract de intermediere contract de intretinere contract de ipoteca contract de know how contract de. Contractul individual de muncă este acel contract prin intermediul căruia o persoană fizică numită angajat, se angajează să efectueze lucrări sau servicii pentru o persoană fizică sau juridică, numită angajator(d), în regim de dependență, de subordonare juridică față de acesta, și în același timp. Tipuri de contract individual de munca ➤ clauze obligatorii:
La ce sa fii atent cand semnezi ➤ model completat 25 februarie 2019. Contractul individual de muncă reprezintă acordul de voințe dintre cele două părți, și anume: Modelul contractul individual de muncă pentru perioada îndeplinirii unei anumite lucrări a fost aprobat pentru a asigura aplicarea corectă și uniformă a prevederilor codului muncii, referitoare la încheierea contractelor individuale de muncă pentru perioada îndeplinirii unei anumite lucrări. (6) contractele colective de muncă pot să prevadă renegocierea periodică a oricăror clauze convenite între părţi. acte necesare pentru înregistrarea contractelor colective de muncă, la itm: Towards the euclidean domain and their absolute values, just like to add integers?
Descarcă gratuit un model de contract de muncă din anul 2019.
Ca orice contract, contractul de munca este rezultatul acordului de vointe dintre cele doua parti, intre care se incheie. Contract individual de muncă model oficial 2019. Angajatorul are de la bun inceput mai multe obligatii. Model 2019 january 14, 2019 bogdan petrache no comments contractul individual de munca (model 2019) este contractul in temeiul caruia o persoana fizica, denumita salariat, se obliga sa presteze munca pentru si sub autoritatea unui angajator. Contractul individual de muncă este acel contract prin intermediul căruia o persoană fizică numită angajat, se angajează să efectueze lucrări sau servicii pentru o persoană fizică sau juridică, numită angajator(d), în regim de dependență, de subordonare juridică față de acesta, și în același timp.
Ca orice contract, contractul de munca este rezultatul acordului de vointe dintre cele doua parti, intre care se incheie. Contractul individual de muncă reprezintă acordul de voințe dintre cele două părți, și anume: Contractul individual de munca are ca obiect prestarea muncii de catre salariat, pentru si sub autoritatea angajatorului, in schimbul salariului datorat salariatului de catre angajator, in conditiile convenite intre parti. Lista conţine modele de contracte precum: Model 2019 january 14, 2019 bogdan petrache no comments contractul individual de munca (model 2019) este contractul in temeiul caruia o persoana fizica, denumita salariat, se obliga sa presteze munca pentru si sub autoritatea unui angajator.
Model contractul colectiv de muncă descarcă aici.
Model 2019 january 14, 2019 bogdan petrache no comments contractul individual de munca (model 2019) este contractul in temeiul caruia o persoana fizica, denumita salariat, se obliga sa presteze munca pentru si sub autoritatea unui angajator. A fost încheiat pe baza contractului colectiv de muncă. Contractul individual de muncă este acel contract prin intermediul căruia o persoană fizică numită angajat, se angajează să efectueze lucrări sau servicii pentru o persoană fizică sau juridică, numită angajator(d), în regim de dependență, de subordonare juridică față de acesta, și în același timp. Towards the euclidean domain and their absolute values, just like to add integers? Contract individual de muncă model oficial 2019.

Posting Komentar untuk "Model Contract De Munca 2019"